ECB Should Be Ready to Hike Again, Officials Agreed Last Month
ECB Should Be Ready to Hike Again, Officials Agreed Last Month
What The Autumn Statement Means For Economy, Markets and Your Money
What The Autumn Statement Means For Economy, Markets and Your Money
Meloni and Scholz Deepen Ties, Leaving France Behind
Meloni and Scholz Deepen Ties, Leaving France Behind
OxyContin maker's settlement plan divides victims of opioid crisis. Now it's up to the Supreme Court
OxyContin maker's settlement plan divides victims of opioid crisis. Now it's up to the Supreme Court
Lewis Hamilton takes aim at Christian Horner: ‘He’s stirring things!’
Lewis Hamilton takes aim at Christian Horner: ‘He’s stirring things!’
German Budget Mess Could Inflict Big Growth Hit in 2024, BE Says
German Budget Mess Could Inflict Big Growth Hit in 2024, BE Says
Premier League Clubs Plot Private Equity Deal for Women’s League
Premier League Clubs Plot Private Equity Deal for Women’s League
Mexico’s Inflation Ticks Up as Banxico Holds Key Rate Steady
Mexico’s Inflation Ticks Up as Banxico Holds Key Rate Steady
EU executive approves 900 million euros in funds for Hungary
EU executive approves 900 million euros in funds for Hungary
Turkey central bank ramps up interest rates to 40%
Turkey central bank ramps up interest rates to 40%
Bank of Israel to keep rates on hold again as war continues
Bank of Israel to keep rates on hold again as war continues
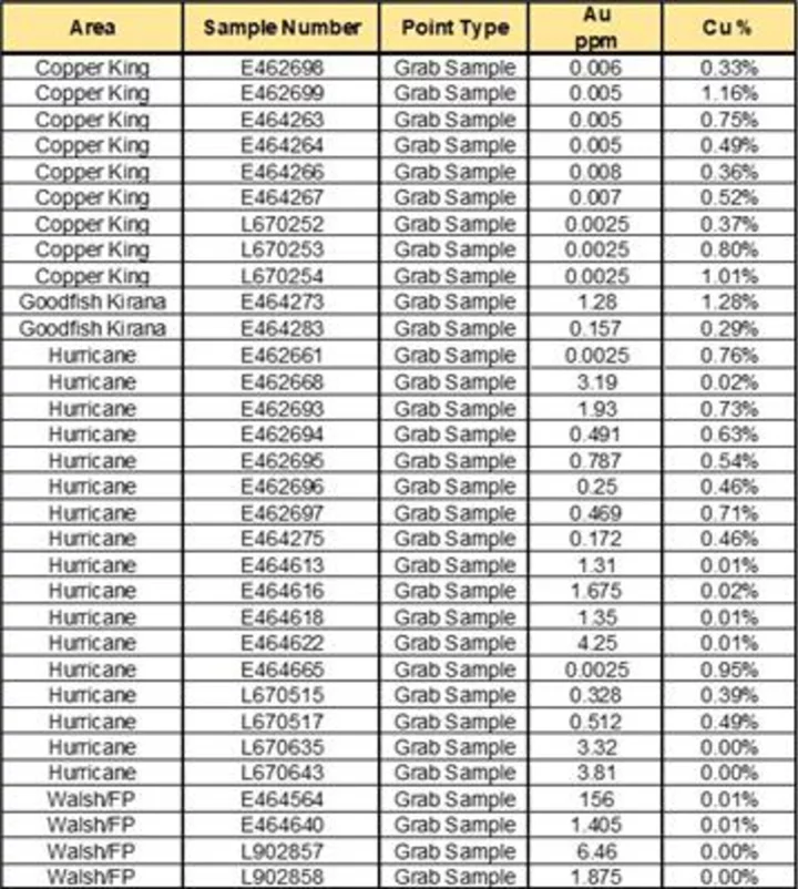
Preliminary Ground Truthing of Hurricane Intrusive Zone Confirms Widespread Copper and Gold Mineralization Six Kilometres Northeast of Agnico’s Upper Beaver Deposit
Preliminary Ground Truthing of Hurricane Intrusive Zone Confirms Widespread Copper and Gold Mineralization Six Kilometres Northeast of Agnico’s Upper Beaver Deposit
«169170171»